Định giá doanh nghiệp là một quá trình và một tập hợp các thủ tục được sử dụng để ước tính giá trị kinh tế của lợi ích của chủ sở hữu trong một doanh nghiệp. Ở đây các kỹ thuật định giá khác nhau được sử dụng bởi những người tham gia thị trường tài chính để xác định giá họ sẵn sàng trả hoặc nhận để thực hiện việc bán doanh nghiệp. Ngoài việc ước tính giá bán của một doanh nghiệp, các công cụ định giá tương tự thường được các thẩm định viên kinh doanh sử dụng để giải quyết các tranh chấp liên quan đến thuế bất động sản và quà tặng, kiện tụng ly hôn, phân bổ giá mua doanh nghiệp giữa các tài sản kinh doanh, thiết lập công thức ước tính giá trị lợi ích sở hữu của đối tác đối với các hợp đồng mua – bán và nhiều mục đích kinh doanh và pháp lý khác như bế tắc của cổ đông, tranh tụng ly hôn và tranh chấp di sản.
Chứng chỉ định giá doanh nghiệp chuyên ngành bao gồm Chartered Business Valuator (CBV) do Viện CBV cung cấp, ASA và CEIV từ Hiệp hội Thẩm định viên Hoa Kỳ, cộng với CVA và CBA của Hiệp hội các nhà định giá và phân tích được chứng nhận quốc gia; Những chuyên gia này có thể được gọi là người định giá doanh nghiệp. Trong một số trường hợp, tòa án sẽ chỉ định một kế toán pháp y làm chuyên gia chung thực hiện định giá doanh nghiệp. Ở đây, các luật sư phải luôn chuẩn bị để báo cáo của chuyên gia của họ chịu được sự giám sát của kiểm tra chéo và chỉ trích.
Tại Việt Nam, Bộ Tài chính cấp chứng chỉ thẩm định giá cho các định giá viên thông qua các kỳ thi cấp chứng chỉ.
Định giá doanh nghiệp có một quan điểm khác so với định giá cổ phiếu, đó là về tính toán giá trị lý thuyết của các công ty niêm yết và cổ phiếu của họ, cho mục đích giao dịch cổ phiếu và quản lý đầu tư. Sự khác biệt này xuất phát chủ yếu từ việc sử dụng các kết quả: các nhà đầu tư có ý định thu lợi nhuận từ biến động giá, trong khi chủ doanh nghiệp tập trung vào doanh nghiệp như một mối quan tâm tổng thể.
Sự khác biệt thứ hai là tài chính doanh nghiệp: khi hai công ty tham gia, việc định giá và giao dịch nằm trong lĩnh vực “sáp nhập và mua lại”, và được quản lý bởi một ngân hàng đầu tư, trong khi trong các bối cảnh khác, việc định giá và các giao dịch tiếp theo thường được xử lý bởi một nhà định giá kinh doanh và môi giới kinh doanh tương ứng.
1. Ước tính giá trị kinh doanh
Bằng chứng về giá trị thị trường của các doanh nghiệp cụ thể rất khác nhau, phần lớn phụ thuộc vào các giao dịch thị trường được báo cáo trong vốn chủ sở hữu của công ty. Một phần nhỏ các doanh nghiệp được giao dịch công khai, có nghĩa là vốn chủ sở hữu của họ có thể được mua và bán bởi các nhà đầu tư trên thị trường chứng khoán có sẵn cho công chúng. Các công ty giao dịch công khai trên các thị trường chứng khoán lớn có vốn hóa thị trường được tính toán dễ dàng, ước tính trực tiếp giá trị thị trường của vốn chủ sở hữu của công ty. Một số công ty giao dịch công khai có tương đối ít giao dịch được ghi nhận (bao gồm nhiều công ty giao dịch qua quầy hoặc trong các tờ màu hồng). Một số lượng lớn hơn nhiều các công ty được tổ chức tư nhân. Thông thường, lợi ích vốn chủ sở hữu trong các công ty này (bao gồm các tập đoàn, công ty hợp danh, công ty trách nhiệm hữu hạn và một số hình thức tổ chức khác) được giao dịch riêng tư và thường không thường xuyên. Do đó, các giao dịch trước đây cung cấp bằng chứng hạn chế về giá trị hiện tại của một công ty tư nhân chủ yếu là do giá trị kinh doanh thay đổi theo thời gian và giá cổ phiếu có liên quan đến sự không chắc chắn đáng kể do tiếp xúc thị trường hạn chế và chi phí giao dịch cao.
Một số chỉ số thị trường chứng khoán ở Hoa Kỳ và các quốc gia khác cung cấp một dấu hiệu về giá trị thị trường của các công ty giao dịch công khai. Khảo sát Tài chính Tiêu dùng ở Mỹ cũng bao gồm ước tính quyền sở hữu cổ phiếu của hộ gia đình, bao gồm cả quyền sở hữu gián tiếp thông qua các quỹ tương hỗ. SCF năm 2004 và 2007 cho thấy xu hướng sở hữu cổ phiếu ngày càng tăng, với 51% hộ gia đình cho biết quyền sở hữu cổ phiếu trực tiếp hoặc gián tiếp, với phần lớn những người được hỏi cho biết quyền sở hữu gián tiếp thông qua các quỹ tương hỗ. Rất ít dấu hiệu có sẵn về giá trị của các công ty tư nhân. Anderson (2009) gần đây đã ước tính giá trị thị trường của các công ty tư nhân và giao dịch công khai của Hoa Kỳ, sử dụng dữ liệu của Sở Thuế vụ và SCF. Ông ước tính rằng các công ty tư nhân tạo ra nhiều thu nhập hơn cho các nhà đầu tư và có nhiều giá trị hơn các công ty đại chúng, vào năm 2004.
2. Tiêu chuẩn và tiền đề của giá trị
Trước khi có thể đo lường được giá trị của một doanh nghiệp, việc định giá phải nêu rõ lý do và hoàn cảnh xung quanh việc định giá doanh nghiệp. Chúng được chính thức gọi là tiêu chuẩn giá trị kinh doanh và tiền đề của giá trị.
Tiêu chuẩn giá trị là các điều kiện giả định theo đó doanh nghiệp sẽ được định giá. Tiền đề của giá trị liên quan đến các giả định, chẳng hạn như giả định rằng doanh nghiệp sẽ tiếp tục mãi mãi ở dạng hiện tại (liên tục) hoặc giá trị của doanh nghiệp nằm trong số tiền thu được từ việc bán tất cả tài sản trừ đi khoản nợ liên quan (tổng các bộ phận hoặc lắp ráp tài sản kinh doanh). Khi được thực hiện chính xác, việc định giá sẽ phản ánh năng lực của doanh nghiệp để phù hợp với nhu cầu thị trường nhất định, vì nó là yếu tố dự báo thực sự duy nhất về dòng tiền trong tương lai.
Tiêu chuẩn giá trị
– Giá trị thị trường hợp lý – giá trị của một doanh nghiệp kinh doanh được xác định giữa người mua sẵn sàng và người bán sẵn sàng cả hai đều có kiến thức đầy đủ về tất cả các sự kiện liên quan và không bắt buộc phải kết thúc giao dịch.
– Giá trị đầu tư – một giá trị mà công ty có đối với một nhà đầu tư cụ thể. Hiệu quả của sức mạnh tổng hợp được đưa vào định giá theo tiêu chuẩn đầu tư về giá trị.
– Giá trị nội tại – thước đo giá trị doanh nghiệp phản ánh sự hiểu biết sâu sắc của nhà đầu tư về tiềm lực kinh tế của công ty.
Tiền đề của giá trị
– Sự quan tâm: Giá trị trong việc tiếp tục sử dụng như một doanh nghiệp kinh doanh hoạt động liên tục.
– Ráp tài sản: Giá trị tài sản tại chỗ nhưng không được sử dụng để tiến hành hoạt động kinh doanh.
– Định đoạt có trật tự: Giá trị của tài sản kinh doanh trao đổi, trong đó tài sản sẽ được xử lý riêng lẻ và không được sử dụng cho hoạt động kinh doanh.
– Thanh lý: giá trị trao đổi khi tài sản kinh doanh được xử lý trong một thanh lý bắt buộc.
Tiền đề giá trị để tính giá trị hợp lý
– Đang sử dụng:nếu tài sản sẽ cung cấp giá trị tối đa cho những người tham gia thị trường chủ yếu thông qua việc sử dụng kết hợp với các tài sản khác như một nhóm.
– Đổi lại: Nếu tài sản sẽ cung cấp giá trị tối đa cho những người tham gia thị trường chủ yếu trên cơ sở độc lập.
Kết quả định giá doanh nghiệp có thể thay đổi đáng kể tùy thuộc vào sự lựa chọn của cả tiêu chuẩn và tiền đề của giá trị. Trong một giao dịch bán kinh doanh thực tế, người ta hy vọng rằng người mua và người bán, mỗi người có động lực để đạt được kết quả tối ưu, sẽ xác định giá trị thị trường hợp lý của một tài sản kinh doanh sẽ cạnh tranh trên thị trường cho việc mua lại đó. Nếu sự hiệp lực dành riêng cho công ty được định giá, chúng có thể không được xem xét. Giá trị hợp lý cũng không bao gồm chiết khấu vì thiếu kiểm soát hoặc thị trường.
Tuy nhiên, có thể đạt được giá trị thị trường hợp lý cho một tài sản kinh doanh đang được thanh lý trên thị trường thứ cấp. Điều này nhấn mạnh sự khác biệt giữa tiêu chuẩn và tiền đề của giá trị.
Những giả định này có thể không, và có lẽ không, phản ánh các điều kiện thực tế của thị trường mà doanh nghiệp chủ đề có thể được bán. Tuy nhiên, các điều kiện này được giả định vì chúng mang lại một tiêu chuẩn giá trị thống nhất, sau khi áp dụng các kỹ thuật định giá được chấp nhận chung, cho phép so sánh có ý nghĩa giữa các doanh nghiệp có vị trí tương tự.
3. Các yếu tố
Điều kiện kinh tế
Báo cáo định giá doanh nghiệp thường bắt đầu bằng một bản tóm tắt về mục đích và phạm vi thẩm định doanh nghiệp cũng như ngày và đối tượng đã nêu. Sau đây là mô tả về các điều kiện kinh tế quốc gia, khu vực và địa phương hiện có kể từ ngày định giá, cũng như các điều kiện của ngành mà doanh nghiệp đối tượng hoạt động. Một nguồn thông tin kinh tế phổ biến cho phần đầu tiên của báo cáo định giá doanh nghiệp là Sách màu be của Ủy ban Dự trữ Liên bang, được xuất bản tám lần một năm bởi Ngân hàng Dự trữ Liên bang. Chính quyền tiểu bang và hiệp hội ngành công nghiệp cũng công bố số liệu thống kê hữu ích mô tả các điều kiện khu vực và ngành. Các nhà định giá sử dụng những điều này cũng như các cuộc khảo sát và báo cáo ngành được công bố khác. Giá trị hiện tại ròng (NPV) cho các công ty tương tự có thể thay đổi tùy thuộc vào quốc gia vì giá trị thời gian khác nhau của tiền, rủi ro quốc gia và tỷ lệ phi rủi ro.
Phân tích tài chính
Phân tích báo cáo tài chính thường bao gồm phân tích quy mô chung, phân tích tỷ lệ (thanh khoản, doanh thu, lợi nhuận, v.v.), phân tích xu hướng và phân tích so sánh ngành. Điều này cho phép nhà phân tích định giá so sánh công ty chủ thể với các doanh nghiệp khác trong cùng ngành hoặc tương tự và khám phá các xu hướng ảnh hưởng đến công ty và / hoặc ngành theo thời gian. Bằng cách so sánh báo cáo tài chính của công ty trong các khoảng thời gian khác nhau, chuyên gia định giá có thể xem sự tăng trưởng hoặc suy giảm doanh thu hoặc chi phí, thay đổi cấu trúc vốn hoặc các xu hướng tài chính khác. Làm thế nào công ty chủ đề so sánh với ngành sẽ giúp đánh giá rủi ro và cuối cùng giúp xác định tỷ lệ chiết khấu và lựa chọn bội số thị trường.
Điều quan trọng cần đề cập là trong số các báo cáo tài chính, báo cáo chính để thể hiện tính thanh khoản của công ty là dòng tiền. Dòng tiền cho thấy dòng tiền vào và ra của công ty.
Chuẩn hóa báo cáo tài chính
Mục tiêu chính của bình thường hóa là xác định khả năng của doanh nghiệp để tạo thu nhập cho chủ sở hữu của nó. Một thước đo thu nhập là lượng dòng tiền mà chủ sở hữu có thể loại bỏ khỏi doanh nghiệp mà không ảnh hưởng xấu đến hoạt động của nó. Các điều chỉnh chuẩn hóa phổ biến nhất rơi vào bốn loại sau:
– Điều chỉnh khả năng so sánh. Người định giá có thể điều chỉnh báo cáo tài chính của công ty đối tượng để tạo điều kiện so sánh giữa công ty đối tượng và các doanh nghiệp khác trong cùng ngành hoặc vị trí địa lý. Những điều chỉnh này nhằm loại bỏ sự khác biệt giữa cách trình bày dữ liệu ngành được công bố và cách trình bày dữ liệu của công ty đối tượng trong báo cáo tài chính của mình.
– Điều chỉnh không hoạt động. Thật hợp lý khi giả định rằng nếu một doanh nghiệp được bán trong một giao dịch bán hàng giả định (là tiền đề cơ bản của tiêu chuẩn giá trị thị trường hợp lý), người bán sẽ giữ lại bất kỳ tài sản nào không liên quan đến việc tạo ra thu nhập hoặc định giá các tài sản không hoạt động đó một cách riêng biệt. Vì lý do này, các tài sản không hoạt động (như tiền mặt dư thừa) thường bị loại khỏi bảng cân đối kế toán.
– Điều chỉnh không định kỳ. Báo cáo tài chính của công ty đối tượng có thể bị ảnh hưởng bởi các sự kiện dự kiến sẽ không tái diễn, chẳng hạn như mua hoặc bán tài sản, vụ kiện hoặc doanh thu hoặc chi phí lớn bất thường. Các khoản mục không định kỳ này được điều chỉnh để báo cáo tài chính sẽ phản ánh tốt hơn kỳ vọng của ban lãnh đạo về hiệu suất trong tương lai.
– Điều chỉnh tùy ý. Chủ sở hữu của các công ty tư nhân có thể được trả tiền chênh lệch so với mức bồi thường thị trường mà các giám đốc điều hành tương tự trong ngành có thể yêu cầu. Để xác định giá trị thị trường hợp lý, bồi thường, lợi ích, tinh tế và phân phối của chủ sở hữu phải được điều chỉnh theo tiêu chuẩn ngành. Tương tự, tiền thuê được trả bởi doanh nghiệp chủ thể để sử dụng tài sản thuộc sở hữu của chủ sở hữu công ty riêng lẻ có thể được xem xét kỹ lưỡng.
Phương pháp định giá
Ba cách tiếp cận khác nhau thường được sử dụng trong định giá doanh nghiệp: phương pháp thu nhập, cách tiếp cận dựa trên tài sản và cách tiếp cận thị trường. Trong mỗi cách tiếp cận này, có nhiều kỹ thuật khác nhau để xác định giá trị của một doanh nghiệp bằng cách sử dụng định nghĩa về giá trị phù hợp cho việc phân công thẩm định như sau:
- Các phương pháp tiếp cận thu nhập xác định giá trị bằng cách tính giá trị hiện tại ròng của dòng lợi ích do doanh nghiệp tạo ra (dòng tiền chiết khấu);
- Các phương pháp tiếp cận dựa trên tài sản xác định giá trị bằng cách cộng tổng các bộ phận của doanh nghiệp (giá trị tài sản ròng);
- Và các phương pháp tiếp cận thị trường xác định giá trị bằng cách so sánh công ty chủ thể với các công ty khác trong cùng ngành, có cùng quy mô và / hoặc trong cùng một khu vực.
Một số mô hình định giá doanh nghiệp có thể được xây dựng sử dụng các phương pháp khác nhau theo ba phương pháp định giá doanh nghiệp. Các nhà đầu tư mạo hiểm và các chuyên gia cổ phần tư nhân từ lâu đã sử dụng Phương pháp Chicago đầu tiên, về cơ bản kết hợp phương pháp thu nhập với cách tiếp cận thị trường. Trong một số trường hợp nhất định, vốn chủ sở hữu cũng có thể được định giá bằng cách áp dụng các kỹ thuật và khuôn khổ được phát triển cho các lựa chọn tài chính, thông qua khung quyền chọn thực, như được thảo luận dưới đây. Cách tiếp cận định giá cũng có thể khác nhau tùy theo ngành và / hoặc trong bối cảnh kinh doanh.
Khi xác định phương pháp nào trong số các phương pháp này để sử dụng, chuyên gia thẩm định giá phải thận trọng. Mỗi kỹ thuật đều có những ưu điểm và nhược điểm, phải được xem xét khi áp dụng các kỹ thuật đó cho một công ty chủ đề cụ thể. Hầu hết các chuyên luận và quyết định của tòa án khuyến khích người định giá xem xét nhiều hơn một kỹ thuật, phải được hòa giải với nhau để đi đến kết luận giá trị. Một thước đo của ý thức chung và nắm bắt tốt về toán học là hữu ích.
4. Định giá
Các cách tiếp cận khác nhau để định giá được trình bày chi tiết trong các phần sau:
Phương pháp tiếp cận thu nhập
Cách tiếp cận thu nhập dựa trên nguyên tắc kinh tế của kỳ vọng: giá trị của doanh nghiệp dựa trên lợi ích kinh tế dự kiến và mức độ rủi ro liên quan đến đầu tư. Các phương pháp định giá dựa trên thu nhập xác định giá trị thị trường hợp lý bằng cách chia dòng lợi ích được tạo ra bởi đối tượng hoặc công ty mục tiêu cho tỷ lệ chiết khấu hoặc vốn hóa. Tỷ lệ chiết khấu hoặc vốn hóa chuyển đổi dòng lợi ích thành giá trị hiện tại.
Có một số phương pháp thu nhập khác nhau, bao gồm vốn hóa thu nhập hoặc dòng tiền, dòng tiền chiết khấu trong tương lai (“DCF”) và phương pháp thu nhập vượt mức (là sự kết hợp giữa phương pháp tiếp cận tài sản và thu nhập). Kết quả của việc tính toán giá trị theo phương pháp thu nhập nói chung là giá trị thị trường hợp lý của lợi ích kiểm soát, có thể bán được trong công ty chủ thể, vì toàn bộ dòng lợi ích của công ty đối tượng thường được định giá cao nhất, và vốn hóa và tỷ lệ chiết khấu được lấy từ số liệu thống kê liên quan đến các công ty đại chúng. Phán quyết Doanh thu 59-60 của IRS tuyên bố rằng thu nhập là ưu việt đối với việc định giá các công ty hoạt động chặt chẽ.
Tuy nhiên, các phương pháp định giá thu nhập cũng có thể được sử dụng để thiết lập giá trị của một tài sản kinh doanh có thể tách rời miễn là một dòng thu nhập có thể được quy cho nó. Một ví dụ là sở hữu trí tuệ có thể cấp phép có giá trị cần được thiết lập để đi đến một cấu trúc tiền bản quyền có thể hỗ trợ.
Kỹ thuật định giá doanh nghiệp bằng dòng tiền chiết khấu
Định giá bằng cách sử dụng dòng tiền chiết khấu (định giá DCF) là một phương pháp ước tính giá trị hiện tại của một công ty dựa trên dòng tiền dự kiến trong tương lai được điều chỉnh theo giá trị thời gian của tiền. Dòng tiền được tạo thành từ những dòng tiền trong giai đoạn dự báo “rõ ràng”, cùng với giá trị tiếp tục hoặc đầu cuối đại diện cho dòng tiền sau giai đoạn dự báo. Trong một số bối cảnh, định giá DCF được gọi là “phương pháp thu nhập”.
Định giá dòng tiền chiết khấu đã được sử dụng trong công nghiệp ngay từ những năm 1700 hoặc 1800; nó đã được John Burr Williams giải thích trong Lý thuyết giá trị đầu tư năm 1938; Nó đã được thảo luận rộng rãi trong kinh tế tài chính trong những năm 1960; và được sử dụng rộng rãi tại các tòa án Hoa Kỳ trong những năm 1980 và 1990.
Nội dung sau đây trình bày chi tiết các cơ chế định giá, thông qua một ví dụ làm việc; Nó cũng thảo luận về các sửa đổi điển hình cho các công ty khởi nghiệp, vốn cổ phần tư nhân và đầu tư mạo hiểm, “dự án” tài chính doanh nghiệp, sáp nhập và mua lại, và để định giá theo ngành cụ thể trong các dịch vụ tài chính và khai thác mỏ.
Xem thêm chi tiết phần Dòng tiền chiết khấu và Định giá (tài chính) và Tổng quan về định giá để hiểu hơn.
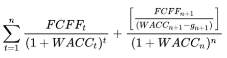
Công thức cơ bản để định giá công ty bằng mô hình DCF
Giá trị công ty sẽ bằng

Trong đó:
– FCFF là dòng tiền tự do cho công ty (về cơ bản là dòng tiền hoạt động trừ chi phí vốn) được giảm thuế
– WACC là chi phí vốn bình quân gia quyền, kết hợp chi phí vốn chủ sở hữu và chi phí nợ sau thuế
– t là khoảng thời gian
– n là số khoảng thời gian để “đáo hạn” hoặc thoát ra
– G là tốc độ tăng trưởng bền vững tại thời điểm đó
Nói chung, “Giá trị của công ty” đại diện cho giá trị doanh nghiệp của công ty (tức là giá trị thị trường của nó khác biệt với giá thị trường); đối với định giá tài chính doanh nghiệp, điều này thể hiện giá trị hiện tại ròng của dự án hoặc NPV. Thuật ngữ thứ hai thể hiện giá trị liên tục của dòng tiền trong tương lai ngoài thời hạn dự báo; ở đây áp dụng “mô hình tăng trưởng vĩnh viễn”.
Lưu ý rằng để định giá vốn chủ sở hữu, trái ngược với “công ty”, dòng tiền tự do trên vốn chủ sở hữu (FCFE) hoặc cổ tức được mô hình hóa và chúng được chiết khấu theo chi phí vốn chủ sở hữu thay vì WACC kết hợp chi phí nợ. Dòng tiền tự do vào công ty là những dòng tiền được phân phối giữa – hoặc ít nhất là do – tất cả các chủ sở hữu chứng khoán của một thực thể công ty (xem Tài chính doanh nghiệp § Cơ cấu vốn); đến vốn chủ sở hữu, là những thứ chỉ được phân phối cho các cổ đông. Trường hợp sau này là cổ tức thì có thể áp dụng mô hình chiết khấu cổ tức, sửa đổi công thức trên.
Sử dụng
Sơ đồ cho thấy một cái nhìn tổng quan về quá trình định giá công ty. Tất cả các bước trong sơ đồ được giải thích chi tiết dưới đây.
Xác định giai đoạn dự báo
Bước đầu tiên là quyết định khoảng thời gian dự báo, tức là khoảng thời gian mà dòng tiền hàng năm riêng lẻ đầu vào công thức DCF sẽ được mô hình hóa rõ ràng. Dòng tiền sau kỳ dự báo được thể hiện bằng một số duy nhất;
Giai đoạn dự báo phải được chọn để phù hợp với chiến lược của công ty, thị trường hoặc ngành của công ty; Về mặt lý thuyết tương ứng với thời gian để công ty (dư thừa) trở lại “hội tụ” với ngành của mình, với sự tăng trưởng liên tục, dài hạn áp dụng cho giá trị liên tục sau đó; mặc dù, bất kể, 5-10 năm là phổ biến trong thực tế.
Đối với đầu tư vốn cổ phần tư nhân và đầu tư mạo hiểm, giai đoạn này sẽ phụ thuộc vào thời gian đầu tư và chiến lược rút lui.
Xác định dòng tiền cho từng kỳ dự báo
Như trên, một dự báo dòng tiền rõ ràng là cần thiết cho mỗi năm trong giai đoạn dự báo. Đây phải là “Dòng tiền tự do” hoặc cổ tức.
Thông thường, dự báo này sẽ được xây dựng bằng cách sử dụng dữ liệu kế toán và bán hàng nội bộ lịch sử, ngoài dữ liệu ngành bên ngoài và các chỉ số kinh tế (đối với các tổ chức sau, bên ngoài các tổ chức lớn, thường dựa vào các cuộc khảo sát và báo cáo ngành được công bố).
Khía cạnh chính của dự báo là, được cho là, dự đoán doanh thu, một chức năng của dự báo của nhà phân tích về quy mô thị trường, nhu cầu, hàng tồn kho sẵn có, thị phần và sức mạnh thị trường của công ty. Chi phí trong tương lai, cố định và biến đổi, và đầu tư vào PPE với các yêu cầu vốn tương ứng, sau đó có thể được ước tính như một chức năng bán hàng thông qua “phân tích quy mô chung”.
Đồng thời, các mục ở hàng kết quả phải căn cứ logic với hoạt động của doanh nghiệp: nói chung, tăng trưởng doanh thu sẽ đòi hỏi sự gia tăng tương ứng về vốn lưu động, tài sản cố định và tài chính liên quan; và trong dài hạn, lợi nhuận (và các tỷ lệ tài chính khác) sẽ có xu hướng trung bình ngành, như đã đề cập ở trên.
Các phương pháp tiếp cận để xác định giả định nào có tác động nhất đến giá trị – và do đó cần được chú ý nhất – và mô hình “hiệu chuẩn” được thảo luận dưới đây (quá trình này sau đó hơi lặp đi lặp lại). Đối với các thành phần / bước của mô hình kinh doanh ở đây.
Có một số sửa đổi phụ thuộc vào ngữ cảnh:
- Điều quan trọng là, trong trường hợp khởi nghiệp, chi phí đáng kể thường phát sinh vào đầu năm đầu tiên – và chắc chắn – và sau đó chúng nên được mô hình hóa riêng biệt với các dòng tiền khác và hoàn toàn không được chiết khấu. (Xem bình luận trong ví dụ.) Dự báo chi phí liên tục và yêu cầu vốn, có thể được ủy quyền cho một công ty tương tự, hoặc mức trung bình của ngành; tương tự như cách tiếp cận “kích thước chung” đã đề cập; thường những điều này dựa trên các giả định của ban quản lý về giá vốn hàng bán, bảng lương và các chi phí khác.
- Đối với các dự án tài chính doanh nghiệp, dòng tiền nên được ước tính tăng dần, tức là phân tích chỉ nên xem xét các dòng tiền có thể thay đổi nếu khoản đầu tư được đề xuất được thực hiện. (Nguyên tắc này nói chung là chính xác và áp dụng cho tất cả các khoản đầu tư (vốn chủ sở hữu), không chỉ cho tài chính doanh nghiệp; trên thực tế, các công thức trên phản ánh điều này, vì, từ quan điểm của một nhà đầu tư cổ phần niêm yết hoặc tư nhân, tất cả các dòng tiền dự kiến đều tăng lên và toàn bộ FCFF hoặc dòng cổ tức sau đó được chiết khấu.)
- Đối với định giá M&A, dòng tiền tự do là lượng tiền mặt có sẵn để trả cho tất cả các nhà đầu tư trong công ty sau khi các khoản đầu tư cần thiết theo kế hoạch kinh doanh được định giá. Sự hiệp lực hoặc cơ hội chiến lược thường sẽ được giải quyết bằng cách cân nhắc xác suất / cắt tóc hoặc bằng cách tách chúng thành định giá DCF của riêng chúng, nơi tỷ lệ chiết khấu cao hơn phản ánh sự không chắc chắn của chúng. Thuế sẽ nhận được sự quan tâm rất chặt chẽ. Thường thì mỗi ngành nghề kinh doanh sẽ được định giá riêng biệt trong phân tích tổng hợp các bộ phận.
Khi định giá các công ty dịch vụ tài chính, FCFE hoặc cổ tức thường được mô hình hóa, trái ngược với FCFF. Điều này là do, thông thường, chi phí vốn, vốn lưu động và nợ không được xác định rõ ràng cho các công ty này (“nợ… gần giống với nguyên liệu thô hơn là một nguồn vốn”), và dòng tiền chảy vào công ty, và do đó giá trị doanh nghiệp, sau đó không thể dễ dàng ước tính. Chiết khấu tương ứng với chi phí vốn chủ sở hữu. Hơn nữa, khi các công ty này hoạt động trong một môi trường được quản lý chặt chẽ, các giả định dự báo phải kết hợp thực tế này và đầu ra tương tự phải bị “ràng buộc” bởi các giới hạn quy định (Các giao ước cho vay tại chỗ sẽ tác động tương tự đến các mô hình tài chính doanh nghiệp và M&A.)
Các cách tiếp cận thay thế trong định giá DCF sẽ xem xét trực tiếp hơn lợi nhuận kinh tế và các định nghĩa về “dòng tiền” sẽ khác nhau tương ứng; được biết đến nhiều nhất là EVA. Với chi phí vốn được điều chỉnh chính xác và tương ứng, việc định giá sẽ mang lại kết quả tương tự, cho các trường hợp tiêu chuẩn. Những cách tiếp cận này có thể được coi là phù hợp hơn đối với các công ty có dòng tiền tự do âm vài năm, nhưng dự kiến sẽ tạo ra dòng tiền dương sau đó. Hơn nữa, chúng có thể ít nhạy cảm hơn với giá trị đầu cuối.
Xác định hệ số chiết khấu / tỷ lệ
Một yếu tố cơ bản của việc định giá là xác định tỷ lệ lợi nhuận yêu cầu thích hợp, dựa trên mức độ rủi ro liên quan đến công ty và thị trường của nó.
Thông thường, đối với một công ty được thành lập (niêm yết):
- Đối với chi phí vốn chủ sở hữu, nhà phân tích sẽ áp dụng một mô hình như CAPM phổ biến nhất. Beta của một công ty chưa niêm yết có thể dựa trên Beta của một proxy được liệt kê như được điều chỉnh theo thiết bị, tức là nợ, thông qua phương trình Hamada. (Các cách tiếp cận khác, chẳng hạn như “Phương pháp xây dựng” hoặc mô hình T cũng được áp dụng.)
- Chi phí nợ có thể được tính cho từng kỳ như thời gian trả lãi sau thuế theo tỷ lệ phần trăm của dư nợ; xem Tài chính doanh nghiệp § Vốn nợ.
- Sự kết hợp trọng số theo giá trị của những điều này sau đó sẽ trả về tỷ lệ chiết khấu thích hợp cho mỗi năm của giai đoạn dự báo. Vì trọng số (và chi phí) của nợ có thể thay đổi theo dự báo, hệ số chiết khấu của mỗi giai đoạn sẽ được cộng dồn trong các giai đoạn cho đến ngày đó.
Ngược lại, đối với vốn đầu tư mạo hiểm và định giá vốn cổ phần tư nhân – và đặc biệt là khi công ty là một công ty khởi nghiệp, như trong ví dụ – hệ số chiết khấu thường được thiết lập theo giai đoạn tài trợ, trái ngược với mô hình (“Nhóm rủi ro” trong ví dụ). Trong giai đoạn đầu, khi doanh nghiệp có nhiều khả năng thất bại, lợi nhuận cao hơn được yêu cầu bồi thường; Khi trưởng thành, một cách tiếp cận tương tự như trước đó có thể được áp dụng. (Thay vào đó, một số nhà phân tích có thể giải thích cho sự không chắc chắn này bằng cách điều chỉnh trực tiếp dòng tiền: sử dụng các khoản tương đương chắc chắn; hoặc áp dụng “cắt tóc” (chủ quan) cho các con số dự báo, “giá trị hiện tại bị phạt”; hoặc thông qua trọng số xác suất như trong rNPV.)
Các nhà phân tích tài chính doanh nghiệp thường áp dụng cách tiếp cận đầu tiên, công ty niêm yết: ở đây mặc dù đó là các đặc điểm rủi ro của dự án phải xác định chi phí vốn chủ sở hữu chứ không phải của công ty mẹ. Các nhà phân tích M&A cũng áp dụng cách tiếp cận đầu tiên, với rủi ro cũng như cấu trúc vốn mục tiêu thông báo cho cả chi phí vốn chủ sở hữu và, một cách tự nhiên, WACC. Đối với cách tiếp cận được thực hiện trong ngành khai thác mỏ, trong đó các đặc điểm rủi ro có thể khác nhau (đáng kể) theo tài sản,
Xác định giá trị hiện tại
Để xác định giá trị hiện tại, nhà phân tích tính toán giá trị hiện tại của dòng tiền trong tương lai chỉ đơn giản bằng cách nhân dòng tiền của mỗi thời kỳ với hệ số chiết khấu cho giai đoạn được đề cập;
Trường hợp dự báo là hàng năm, đôi khi điều chỉnh được thực hiện: mặc dù dòng tiền hàng năm được chiết khấu, nhưng không đúng là toàn bộ dòng tiền đến vào cuối năm; Thay vào đó, tiền mặt sẽ chảy vào trong cả năm. Để giải thích cho điều này, một “điều chỉnh giữa năm” được áp dụng thông qua tỷ lệ chiết khấu (chứ không phải cho chính dự báo), ảnh hưởng đến mức trung bình bắt buộc.
Đối với các công ty có tính thời vụ mạnh mẽ – ví dụ: nhà bán lẻ và doanh số bán hàng trong kỳ nghỉ; kinh doanh nông nghiệp có biến động về vốn lưu động gắn với sản xuất; Các công ty dầu khí có nhu cầu liên quan đến thời tiết — có thể cần điều chỉnh thêm;
Xác định giá trị tiếp tục
Giá trị tiếp tục là giá trị ước tính của tất cả các dòng tiền sau giai đoạn dự báo.
Thông thường, cách tiếp cận là tính toán giá trị này bằng cách sử dụng “mô hình tăng trưởng vĩnh viễn”, về cơ bản trả về giá trị của dòng tiền trong tương lai thông qua một chuỗi hình học. Chìa khóa ở đây là việc xử lý tốc độ tăng trưởng dài hạn, và tương ứng, số năm dự báo được giả định để công ty đạt đến giai đoạn trưởng thành này;
Cách tiếp cận thay thế, các phương pháp thoái vốn bằng nhiều cách, (ngầm) giả định rằng doanh nghiệp sẽ được bán vào cuối kỳ dự báo ở một số bội số của dòng tiền dự báo rõ ràng cuối cùng của nó. Đây thường là cách tiếp cận được thực hiện để định giá vốn mạo hiểm, trong đó một giao dịch thoái vốn được lên kế hoạch rõ ràng.
Cho dù cách tiếp cận nào, giá trị thiết bị đầu cuối sau đó được chiết khấu theo hệ số tương ứng với ngày rõ ràng cuối cùng.
Lưu ý rằng bước này mang nhiều rủi ro hơn bước trước: ở xa hơn về thời gian và tóm tắt hiệu quả tương lai của công ty, có (đáng kể) sự không chắc chắn hơn so với giai đoạn dự báo rõ ràng; Tuy nhiên, có khả năng (thường) kết quả này đóng góp một tỷ lệ đáng kể trong tổng giá trị. Ở đây, một tỷ lệ rất cao có thể cho thấy một lỗ hổng trong định giá (như nhận xét trong ví dụ); Nhưng đồng thời, trên thực tế, có thể phản ánh cách các nhà đầu tư kiếm tiền từ đầu tư cổ phiếu – tức là chủ yếu từ tăng vốn hoặc tăng giá. Bội số thoát ngụ ý của nó sau đó có thể hoạt động như một kiểm tra, hoặc “tam giác”, trên số dẫn xuất vĩnh viễn.
Do sự phụ thuộc này vào giá trị đầu cuối, các nhà phân tích thường sẽ thiết lập một “phạm vi định giá” hoặc bảng độ nhạy (xem đồ họa), tương ứng với các tỷ lệ chiết khấu phù hợp và nhất quán nội bộ khác nhau, bội số thoát và tốc độ tăng trưởng vĩnh viễn. Để thảo luận về rủi ro và lợi thế của hai phương pháp.
Đối với việc định giá các dự án khai thác(tức là trái ngược với các công ty khai thác niêm yết), giai đoạn dự báo giống như “tuổi thọ của mỏ” – tức là mô hình DCF sẽ dự báo rõ ràng tất cả các dòng tiền do khai thác trữ lượng (bao gồm cả chi phí do đóng cửa mỏ) – và do đó, một giá trị liên tục không phải là một phần của việc định giá.
Xác định giá trị vốn chủ sở hữu
Giá trị vốn chủ sở hữu là tổng các giá trị hiện tại của dòng tiền được dự báo rõ ràng và giá trị liên tục; Trường hợp dự báo là dòng tiền tự do cho công ty, như trên, giá trị vốn chủ sở hữu được tính bằng cách trừ đi bất kỳ khoản nợ tồn đọng nào khỏi tổng số tất cả các dòng tiền chiết khấu; trong đó dòng tiền tự do vào vốn chủ sở hữu (hoặc cổ tức) đã được mô hình hóa, bước sau này là không bắt buộc – và tỷ lệ chiết khấu sẽ là chi phí vốn chủ sở hữu, trái ngược với WACC. (Một số thêm tiền mặt có sẵn vào giá trị FCFF.)
Độ chính xác của định giá DCF sẽ bị ảnh hưởng bởi độ chính xác của các đầu vào và giả định khác nhau (nhiều). Giải quyết vấn đề này, các nhà phân tích vốn cổ phần tư nhân và đầu tư mạo hiểm, đặc biệt, áp dụng (một số) điều sau đây. Với hai cái đầu tiên, giá đầu ra sau đó liên quan đến thị trường và mô hình sẽ được thúc đẩy bởi các biến và giả định có liên quan. Hai cái sau chỉ có thể được áp dụng ở giai đoạn này.
– Giá trị DCF luôn được “kiểm tra” bằng cách so sánh P/E hoặc EV / EBITDA tương ứng của nó với cùng một công ty hoặc lĩnh vực có liên quan, dựa trên giá cổ phiếu hoặc giao dịch gần đây nhất. Đánh giá này đặc biệt hữu ích khi giá trị đầu cuối được ước tính bằng cách sử dụng phương pháp vĩnh viễn; và sau đó cũng có thể phục vụ như một mô hình “hiệu chuẩn”. Việc sử dụng bội số truyền thống có thể bị hạn chế trong trường hợp khởi nghiệp – nơi lợi nhuận và dòng tiền thường âm – và các tỷ lệ như giá / doanh số sau đó được sử dụng.
– Rất phổ biến, các nhà phân tích sẽ đưa ra một phạm vi định giá, đặc biệt là dựa trên các giả định giá trị đầu cuối khác nhau như đã đề cập. Họ cũng có thể thực hiện phân tích độ nhạy – đo lường tác động đến giá trị đối với một thay đổi nhỏ trong đầu vào – để chứng minh giá trị đã nêu “mạnh mẽ” như thế nào; và xác định đầu vào mô hình nào là quan trọng nhất đối với giá trị. Điều này cho phép tập trung vào các đầu vào “thực sự thúc đẩy giá trị”, giảm nhu cầu ước tính hàng chục biến.
– Các nhà phân tích về vốn cổ phần tư nhân và tài chính doanh nghiệp cũng thường tạo ra các định giá dựa trên kịch bản, dựa trên các giả định khác nhau về các yếu tố “toàn cầu” trên toàn nền kinh tế cũng như các yếu tố cụ thể của công ty. Về lý thuyết, giá trị “không thiên vị” là giá trị trung bình có trọng số xác suất của các kịch bản khác nhau (được chiết khấu bằng cách sử dụng WACC phù hợp với từng kịch bản). Lưu ý rằng trong thực tế, các yếu tố xác suất cần thiết thường quá không chắc chắn để làm điều này.
– Một phần mở rộng của định giá dựa trên kịch bản là sử dụng mô phỏng Monte Carlo, chuyển các đầu vào mô hình có liên quan thông qua bổ trợ phân tích rủi ro bảng tính, chẳng hạn như @Risk hoặc Crystal Ball. Đầu ra là biểu đồ của các giá trị DCF, cho phép nhà phân tích đọc giá trị dự kiến (tức là trung bình) trên các đầu vào hoặc xác suất đầu tư sẽ có ít nhất một giá trị cụ thể hoặc sẽ tạo ra lợi nhuận cụ thể. Cách tiếp cận này đôi khi được áp dụng cho các dự án tài chính doanh nghiệp. Nhưng, một lần nữa, trong bối cảnh đầu tư mạo hiểm, nó không thường được áp dụng, được coi là thêm “độ chính xác nhưng không chính xác” (và đòi hỏi kiến thức về các phân phối cơ bản); Và việc đầu tư vào thời gian (và phần mềm) sau đó được đánh giá là không có khả năng được bảo đảm.
Giá trị DCF có thể được áp dụng khác nhau tùy thuộc vào ngữ cảnh. Một nhà đầu tư vào vốn chủ sở hữu niêm yết sẽ so sánh giá trị mỗi cổ phiếu với giá giao dịch của cổ phiếu, trong số các tiêu chí lựa chọn cổ phiếu khác. Trong phạm vi giá thấp hơn số DCF, vì vậy cô ấy sẽ có xu hướng quyết định đầu tư. Việc hiệu chuẩn ở trên sẽ ít liên quan hơn ở đây. Các giả định hợp lý và mạnh mẽ hơn như vậy. Một cách tiếp cận liên quan là “kỹ sư đảo ngược” giá cổ phiếu; tức là “tìm ra dòng tiền mà công ty dự kiến sẽ kiếm được để tạo ra định giá hiện tại… [Sau đó] tùy thuộc vào tính hợp lý của dòng tiền, hãy quyết định xem cổ phiếu có xứng đáng với giá hiện tại của nó hay không.” Nói rộng hơn, sử dụng mô hình DCF, các nhà đầu tư có thể “ước tính [e] những kỳ vọng được nhúng vào giá cổ phiếu của công ty…. [và] sau đó đánh giá khả năng sửa đổi kỳ vọng.”
Các công ty thường sẽ có một số dự án tiềm năng đang được xem xét (hoặc đang hoạt động). NPV thường là tiêu chí lựa chọn chính giữa các tiêu chí này; mặc dù các biện pháp đầu tư khác được xem xét, như có thể nhìn thấy từ chính mô hình DCF, bao gồm ROI, IRR và thời gian hoàn vốn. Các nhóm đầu tư mạo hiểm và cổ phần tư nhân sẽ xem xét tương tự các biện pháp và tiêu chí khác nhau, cũng như các giao dịch so sánh gần đây, “Phân tích giao dịch tiền lệ”, khi lựa chọn giữa các khoản đầu tư tiềm năng; Việc định giá thường sẽ là một bước hoặc sau khi thẩm định kỹ lưỡng. Đối với định giá M&A DCF có thể là một trong nhiều kết quả được kết hợp để xác định giá trị của thương vụ; Tuy nhiên, lưu ý rằng đối với các công ty giai đoạn đầu, DCF thường sẽ không được đưa vào “kho vũ khí định giá”, do lợi nhuận thấp và phụ thuộc cao hơn vào tăng trưởng doanh thu.
Tỷ lệ chiết khấu hoặc vốn hóa
Tỷ lệ chiết khấu hoặc tỷ lệ vốn hóa được sử dụng để xác định giá trị hiện tại của lợi nhuận dự kiến của một doanh nghiệp. Tỷ lệ chiết khấu và tỷ lệ vốn hóa có liên quan chặt chẽ với nhau, nhưng có thể phân biệt được. Nói chung, tỷ lệ chiết khấu hoặc tỷ lệ vốn hóa có thể được định nghĩa là lợi suất cần thiết để thu hút các nhà đầu tư vào một khoản đầu tư cụ thể, do những rủi ro liên quan đến khoản đầu tư đó.
– Trong định giá DCF, tỷ lệ chiết khấu, thường là ước tính chi phí vốn cho doanh nghiệp, được sử dụng để tính giá trị hiện tại ròng của một loạt các dòng tiền dự kiến. Tỷ lệ chiết khấu cũng có thể được xem là tỷ lệ hoàn vốn yêu cầu mà các nhà đầu tư mong đợi nhận được từ doanh nghiệp kinh doanh, với mức độ rủi ro mà họ thực hiện.
– Mặt khác, tỷ lệ vốn hóa được áp dụng trong các phương pháp định giá doanh nghiệp dựa trên dữ liệu kinh doanh trong một khoảng thời gian duy nhất. Ví dụ, trong định giá bất động sản cho các tài sản tạo ra dòng tiền, tỷ lệ vốn hóa có thể được áp dụng cho thu nhập hoạt động ròng (NOI) (tức là thu nhập trước khấu hao và chi phí lãi vay) của tài sản trong mười hai tháng sau.
Có một số phương pháp khác nhau để xác định tỷ lệ chiết khấu thích hợp. Tỷ lệ chiết khấu bao gồm hai yếu tố: tỷ lệ phi rủi ro, là lợi nhuận mà nhà đầu tư mong đợi từ một khoản đầu tư an toàn, thực tế không có rủi ro, chẳng hạn như trái phiếu chính phủ chất lượng cao; cộng với phí bảo hiểm rủi ro bồi thường cho nhà đầu tư về mức độ rủi ro tương đối liên quan đến một khoản đầu tư cụ thể vượt quá tỷ lệ phi rủi ro. Quan trọng nhất, tỷ lệ chiết khấu hoặc vốn hóa được lựa chọn phải phù hợp với dòng lợi ích mà nó sẽ được áp dụng.
Các tính toán định giá vốn hóa và chiết khấu trở nên tương đương về mặt toán học với giả định rằng thu nhập kinh doanh tăng trưởng với tốc độ không đổi.
Khi tỷ lệ vốn hóa hoặc tỷ lệ chiết khấu được xác định, nó phải được áp dụng cho một dòng thu nhập kinh tế thích hợp: dòng tiền trước thuế, dòng tiền sau thuế, thu nhập ròng trước thuế, thu nhập ròng sau thuế, thu nhập vượt mức, dòng tiền dự kiến, v.v. Kết quả của công thức này là giá trị được chỉ định trước khi giảm giá. Tuy nhiên, trước khi chuyển sang tính toán chiết khấu, chuyên gia định giá phải xem xét giá trị được chỉ định theo phương pháp tiếp cận tài sản và thị trường.
Việc kết hợp cẩn thận tỷ lệ chiết khấu với thước đo thu nhập kinh tế thích hợp là rất quan trọng đối với tính chính xác của kết quả định giá doanh nghiệp. Dòng tiền thuần là một lựa chọn thường xuyên trong các thẩm định giá kinh doanh được tiến hành chuyên nghiệp. Lý do đằng sau sự lựa chọn này là cơ sở thu nhập này tương ứng với tỷ lệ chiết khấu vốn chủ sở hữu bắt nguồn từ các mô hình xây dựng, hoặc CAPM: lợi nhuận thu được từ các khoản đầu tư vào các công ty giao dịch công khai có thể dễ dàng được thể hiện dưới dạng dòng tiền ròng. Đồng thời, tỷ lệ chiết khấu nói chung cũng được lấy từ dữ liệu thị trường vốn công.
Chi phí vốn bình quân gia quyền
Chi phí vốn bình quân gia quyền (WACC) là một cách tiếp cận để xác định tỷ lệ chiết khấu kết hợp cả vốn chủ sở hữu và tài trợ nợ; Phương pháp này xác định chi phí vốn thực tế của công ty đối tượng bằng cách tính trung bình gia quyền của chi phí nợ và chi phí vốn chủ sở hữu của công ty. Chi phí nợ thực chất là lãi suất sau thuế của công ty; chi phí vốn chủ sở hữu, như được thảo luận dưới đây, thường được tính toán thông qua CAPM, nhưng thường sử dụng một phương pháp thay thế.
Tỷ lệ chiết khấu kết quả được sử dụng cho các trường hợp dòng tiền tổng thể được chiết khấu — tức là trái ngược với dòng tiền trên vốn chủ sở hữu — và do đó được áp dụng cho dòng tiền ròng của công ty đối tượng trên tổng vốn đầu tư.
Một trong những vấn đề với phương pháp này là người định giá có thể chọn tính toán WACC theo cấu trúc vốn hiện có của công ty chủ thể, cơ cấu vốn trung bình của ngành hoặc cấu trúc vốn tối ưu. Sự thận trọng như vậy làm mất đi tính khách quan của phương pháp này, trong tâm trí của một số nhà phê bình.
Vì WACC nắm bắt rủi ro của chính doanh nghiệp chủ đề, các cấu trúc vốn hiện có hoặc dự tính, thay vì mức trung bình của ngành, là những lựa chọn thích hợp để định giá doanh nghiệp.
Mô hình định giá tài sản vốn
Mô hình định giá tài sản vốn (CAPM) cung cấp một phương pháp xác định tỷ lệ chiết khấu trong định giá doanh nghiệp. CAPM bắt nguồn từ các nghiên cứu đoạt giải Nobel của Harry Markowitz, James Tobin và William Sharpe. Phương pháp này lấy được tỷ lệ chiết khấu bằng cách thêm phí bảo hiểm rủi ro vào tỷ lệ phi rủi ro. Phí bảo hiểm rủi ro được lấy bằng cách nhân phí bảo hiểm rủi ro vốn chủ sở hữu với beta, thước đo biến động giá cổ phiếu. Beta được biên soạn bởi các nhà nghiên cứu khác nhau cho các ngành công nghiệp và công ty cụ thể, và đo lường rủi ro đầu tư có hệ thống.
Một trong những lời chỉ trích của CAPM là beta bắt nguồn từ sự biến động giá của các công ty giao dịch công khai, khác với các công ty không công khai về tính thanh khoản, khả năng tiếp thị, cấu trúc vốn và kiểm soát. Các khía cạnh khác như tiếp cận thị trường tín dụng, quy mô và chiều sâu quản lý nhìn chung cũng khác nhau. Trường hợp một công ty tư nhân có thể được chứng minh là đủ giống với một công ty đại chúng, CAPM có thể phù hợp. Tuy nhiên, nó đòi hỏi kiến thức về giá cổ phiếu thị trường để tính toán. Đối với các công ty tư nhân không bán cổ phiếu trên thị trường vốn đại chúng, thông tin này không có sẵn. Do đó, việc tính toán beta cho các công ty tư nhân là vấn đề. Chi phí xây dựng mô hình vốn, được thảo luận dưới đây, là lựa chọn điển hình trong những trường hợp như vậy.
Phương pháp định giá thay thế và mô hình nhân tố
Đối với các phương pháp định giá theo định hướng thị trường vốn, có rất nhiều phương pháp định giá bên cạnh mô hình CAPM truyền thống. Chúng bao gồm, ví dụ, lý thuyết định giá chênh lệch giá (APT) cũng như mô hình định giá tài sản vốn dựa trên tiêu dùng (CCAPM). Hơn nữa, các mô hình thị trường vốn thay thế đã được phát triển, có điểm chung là lợi nhuận kỳ vọng xoay quanh nhiều nguồn rủi ro và do đó ít hạn chế hơn:
Các mô hình của lý thuyết Q
– Mô hình ba yếu tố Fama–Pháp
– Mô hình bốn yếu tố Carhart
– Mô hình năm yếu tố Fama–Pháp
Tuy nhiên, ngay cả những mô hình này cũng không hoàn toàn nhất quán, vì chúng cũng cho thấy sự bất thường của thị trường. Tuy nhiên, phương pháp sao chép không đầy đủ và bao phủ rủi ro xuất hiện mà không cần dữ liệu thị trường vốn và do đó vững chắc hơn. Ngoài ra, sự tồn tại của các phương pháp tiếp cận dựa trên đầu tư, xem xét các cơ hội đầu tư khác nhau và xác định chương trình đầu tư bằng phương pháp tối ưu hóa tuyến tính. Trong số đó, phương pháp định giá phân tách gần đúng có thể được tìm thấy.
Mô hình định giá tài sản vốn đã sửa đổi
Chi phí vốn chủ sở hữu (Ke) được tính bằng cách sử dụng mô hình định giá tài sản vốn đã sửa đổi (Mod. CAPM)

Trong đó:
= Tỷ suất lợi nhuận phi rủi ro (thường được coi là lợi suất trái phiếu chính phủ kỳ hạn 10 năm)
𝛽 = Giá trị beta (độ nhạy của lợi nhuận của cổ phiếu so với lợi nhuận thị trường)
𝑘𝑒 = Chi phí vốn chủ sở hữu
𝑅𝑚 = Tỷ suất lợi nhuận thị trường
SCRP = Phí bảo hiểm rủi ro của công ty nhỏ
CSRP = Phí bảo hiểm rủi ro cụ thể của công ty
Phương pháp xây dựng
Phương pháp xây dựng là một phương pháp được công nhận rộng rãi để xác định tỷ lệ chiết khấu dòng tiền ròng sau thuế, từ đó mang lại tỷ lệ vốn hóa. Các số liệu được sử dụng trong phương pháp xây dựng được lấy từ nhiều nguồn khác nhau. Phương pháp này được gọi là phương pháp xây dựng vì nó là tổng rủi ro liên quan đến các loại tài sản khác nhau. Nó dựa trên nguyên tắc rằng các nhà đầu tư sẽ yêu cầu lợi nhuận lớn hơn đối với các loại tài sản có rủi ro cao hơn.
– Yếu tố đầu tiên của tỷ lệ vốn hóa tích lũy là tỷ lệ phi rủi ro, là tỷ suất lợi nhuận cho trái phiếu chính phủ dài hạn.
– Các nhà đầu tư mua cổ phiếu vốn hóa lớn, vốn có nhiều rủi ro hơn trái phiếu chính phủ dài hạn, đòi hỏi lợi nhuận cao hơn, vì vậy yếu tố tiếp theo của phương pháp xây dựng là phí bảo hiểm rủi ro vốn chủ sở hữu. Khi xác định giá trị của công ty, phí bảo hiểm rủi ro vốn chủ sở hữu dài hạn được sử dụng vì tuổi thọ của Công ty được giả định là vô hạn. Tổng tỷ lệ phi rủi ro và phí bảo hiểm rủi ro vốn chủ sở hữu mang lại tỷ suất lợi nhuận trung bình thị trường dài hạn trên các cổ phiếu công ty đại chúng lớn.
– Tương tự, các nhà đầu tư đầu tư vào các cổ phiếu vốn hóa nhỏ, rủi ro hơn cổ phiếu blue-chip, đòi hỏi lợi nhuận lớn hơn, được gọi là “phí bảo hiểm quy mô”. Dữ liệu phí bảo hiểm kích thước thường có sẵn từ hai nguồn: Cổ phiếu, Trái phiếu, Hóa đơn &Lạm phát của Morningstar (trước đây là Ibbotson &Associates) và Báo cáo phí bảo hiểm rủi ro của Duff &Phelps.
Bằng cách thêm ba yếu tố đầu tiên của tỷ lệ chiết khấu tích lũy, chúng ta có thể xác định tỷ lệ lợi nhuận mà các nhà đầu tư sẽ yêu cầu đối với các khoản đầu tư của họ vào cổ phiếu công ty đại chúng nhỏ. Ba yếu tố này của tỷ lệ chiết khấu tích lũy được gọi chung là rủi ro hệ thống. Loại rủi ro đầu tư này không thể tránh được thông qua đa dạng hóa danh mục đầu tư. Nó phát sinh từ các yếu tố bên ngoài và ảnh hưởng đến mọi loại hình đầu tư trong nền kinh tế. Do đó, các nhà đầu tư chấp nhận rủi ro có hệ thống sẽ được thưởng bằng một khoản phí bảo hiểm bổ sung.
Ngoài rủi ro hệ thống, tỷ lệ chiết khấu phải bao gồm rủi ro không có hệ thống đại diện cho phần đó trong tổng rủi ro đầu tư có thể tránh được thông qua đa dạng hóa. Thị trường vốn công không cung cấp bằng chứng về rủi ro không có hệ thống vì các nhà đầu tư không đa dạng hóa không thể mong đợi lợi nhuận bổ sung. Rủi ro không hệ thống rơi vào một trong hai loại sau:
– Phí bảo hiểm rủi ro của ngành. Nó còn được gọi là rủi ro đặc trưng và có thể được quan sát bằng cách nghiên cứu lợi nhuận của một nhóm các công ty hoạt động trong cùng một lĩnh vực công nghiệp. Niên giám của Morningstar chứa dữ liệu thực nghiệm để định lượng rủi ro liên quan đến các ngành công nghiệp khác nhau, được nhóm theo mã ngành SIC.
– Rủi ro cụ thể của công ty.
Trong lịch sử, không có dữ liệu được công bố nào có sẵn để định lượng rủi ro cụ thể của công ty. Tuy nhiên, tính đến cuối năm 2006, nghiên cứu mới đã có thể định lượng hoặc cô lập rủi ro này đối với các cổ phiếu được giao dịch công khai thông qua việc sử dụng các tính toán beta tổng thể. Butler và Pinkerton đã phác thảo một quy trình đặt hai phương trình sau lại với nhau:
Tổng chi phí vốn chủ sở hữu (TCOE) = tỷ lệ phi rủi ro + tổng beta * phí bảo hiểm rủi ro vốn chủ sở hữu = tỷ lệ phi rủi ro + beta * phí bảo hiểm rủi ro vốn chủ sở hữu + phí bảo hiểm quy mô + phí bảo hiểm rủi ro cụ thể của công ty
Ẩn số duy nhất trong hai phương trình là phí bảo hiểm rủi ro cụ thể của công ty. Mặc dù có thể tách biệt phí bảo hiểm rủi ro cụ thể của công ty như được hiển thị ở trên, nhiều thẩm định viên chỉ cần nhập vào TCOE được cung cấp bởi phương trình đầu tiên.
Nó tương tự như sử dụng phương pháp tiếp cận thị trường trong phương pháp thu nhập thay vì thêm các biện pháp rủi ro riêng biệt (và có khả năng dư thừa) trong phương pháp xây dựng. Việc sử dụng tổng beta ở đây, được phát triển bởi Aswath Damodaran, là một khái niệm tương đối mới. Tuy nhiên, nó đang được chấp nhận trong cộng đồng tư vấn định giá doanh nghiệp vì nó dựa trên lý thuyết danh mục đầu tư hiện đại. Total beta có thể giúp các thẩm định viên phát triển chi phí vốn, những người hài lòng với việc sử dụng trực giác của họ một mình khi trước đây thêm phí bảo hiểm rủi ro hoàn toàn chủ quan dành riêng cho công ty trong phương pháp xây dựng.
Tỷ lệ vốn hóa này đối với các công ty tư nhân nhỏ, cao hơn đáng kể so với lợi nhuận mà nhà đầu tư có thể mong đợi nhận được từ các loại đầu tư phổ biến khác, chẳng hạn như tài khoản thị trường tiền tệ, quỹ tương hỗ hoặc thậm chí là bất động sản. Những khoản đầu tư này liên quan đến mức độ rủi ro thấp hơn đáng kể so với đầu tư vào một công ty được tổ chức chặt chẽ. Tài khoản lưu ký được bảo hiểm bởi chính phủ liên bang (lên đến một số giới hạn nhất định); Các quỹ tương hỗ bao gồm các cổ phiếu được giao dịch công khai, trong đó rủi ro có thể được giảm thiểu đáng kể thông qua đa dạng hóa danh mục đầu tư.
Mặt khác, các công ty được tổ chức chặt chẽ thường thất bại vì nhiều lý do quá nhiều để đặt tên. Không có bảo đảm liên bang. Rủi ro khi đầu tư vào một công ty tư nhân không thể giảm thiểu thông qua đa dạng hóa và hầu hết các doanh nghiệp không sở hữu loại tài sản cứng có thể đảm bảo tăng giá vốn theo thời gian. Đây là lý do tại sao các nhà đầu tư yêu cầu lợi tức đầu tư của họ cao hơn nhiều vào các doanh nghiệp được tổ chức chặt chẽ; Những khoản đầu tư như vậy vốn đã rủi ro hơn nhiều.
Phương pháp tiếp cận dựa trên tài sản
Trong phân tích dựa trên tài sản, giá trị của một doanh nghiệp bằng tổng tài sản của nó. Giá trị của các tài sản này phải được điều chỉnh theo giá trị thị trường hợp lý bất cứ khi nào có thể. Giá trị của tài sản vô hình của công ty, chẳng hạn như lợi thế thương mại, thường không thể xác định ngoài giá trị doanh nghiệp tổng thể của công ty (xem vốn chủ sở hữu chung hữu hình). Vì lý do này, cách tiếp cận dựa trên tài sản không phải là phương pháp chứng minh nhất để xác định giá trị của các mối quan tâm kinh doanh. Trong những trường hợp này, cách tiếp cận dựa trên tài sản mang lại kết quả có thể thấp hơn giá trị thị trường hợp lý của doanh nghiệp. Cách tiếp cận dựa trên tài sản là giá trị rào cản gia nhập và tốt nhất nên được sử dụng trong các doanh nghiệp có chu kỳ tăng trưởng trưởng thành hoặc suy giảm, và phù hợp hơn với ngành thâm dụng vốn.
Khi xem xét cách tiếp cận dựa trên tài sản, chuyên gia định giá phải xem xét liệu cổ đông có lợi ích đang được định giá có bất kỳ thẩm quyền nào để tiếp cận trực tiếp giá trị của tài sản hay không. Cổ đông sở hữu cổ phần trong một công ty, nhưng không phải tài sản của nó, thuộc sở hữu của công ty. Cổ đông kiểm soát có thể có thẩm quyền chỉ đạo công ty bán toàn bộ hoặc một phần tài sản mà mình sở hữu và phân phối số tiền thu được cho các cổ đông. Tuy nhiên, cổ đông không kiểm soát thiếu thẩm quyền này và không thể tiếp cận giá trị của tài sản. Do đó, giá trị tài sản của một công ty không phải là chỉ số giá trị thực sự đối với một cổ đông không thể tận dụng giá trị đó.
Giá trị sổ sách ròng được điều chỉnh có thể là tiêu chuẩn giá trị phù hợp nhất khi việc thanh lý sắp xảy ra hoặc đang diễn ra; trong trường hợp thu nhập hoặc dòng tiền của công ty là danh nghĩa, âm hoặc có giá trị thấp hơn tài sản của công ty; hoặc nơi giá trị sổ sách ròng là tiêu chuẩn trong ngành mà công ty hoạt động. Giá trị sổ sách ròng được điều chỉnh cũng có thể được sử dụng như một “kiểm tra sự tỉnh táo” khi so sánh với các phương pháp định giá khác, chẳng hạn như thu nhập và phương pháp tiếp cận thị trường.
Phương pháp định giá văn hóa
Bên cạnh các phương pháp toán học để định giá các công ty, một phương pháp khá chưa được biết đến cũng bao gồm khía cạnh văn hóa. Cái gọi là “phương pháp định giá văn hóa” (thẩm định văn hóa) tìm cách kết hợp kiến thức, động lực và văn hóa nội bộ hiện có với kết quả của phương pháp giá trị tài sản ròng. Đặc biệt là trong quá trình tiếp quản công ty, việc phát hiện ra các vấn đề tiềm ẩn có tầm quan trọng cao đối với sự thành công sau này của liên doanh kinh doanh.
Phương pháp tiếp cận thị trường
Cách tiếp cận thị trường để định giá doanh nghiệp bắt nguồn từ nguyên tắc cạnh tranh kinh tế: rằng trong một thị trường tự do, lực lượng cung và cầu sẽ đẩy giá tài sản kinh doanh đến một trạng thái cân bằng nhất định. Người mua sẽ không trả nhiều tiền hơn cho doanh nghiệp và người bán sẽ không chấp nhận ít hơn giá của một doanh nghiệp kinh doanh tương đương. Người mua và người bán được cho là được thông tin đầy đủ như nhau và hành động vì lợi ích riêng của họ để kết thúc giao dịch. Nó tương tự ở nhiều khía cạnh với phương thức bán hàng tương đương thường được sử dụng trong thẩm định giá bất động sản. Giá thị trường của cổ phiếu của các công ty giao dịch công khai tham gia vào cùng một ngành nghề kinh doanh hoặc tương tự, có cổ phiếu được giao dịch tích cực trong thị trường tự do và mở, có thể là một chỉ số giá trị hợp lệ khi các giao dịch trong đó cổ phiếu được giao dịch đủ giống nhau để cho phép so sánh có ý nghĩa.
Khó khăn nằm ở việc xác định các công ty đại chúng đủ khả năng so sánh với công ty chủ thể cho mục đích này. Ngoài ra, đối với một công ty tư nhân, vốn chủ sở hữu ít thanh khoản hơn (nói cách khác là cổ phiếu của nó ít dễ mua hoặc bán hơn) so với một công ty đại chúng, giá trị của nó được coi là thấp hơn một chút so với định giá dựa trên thị trường như vậy.
Khi thiếu sự so sánh với cạnh tranh trực tiếp, một giải pháp thay thế có ý nghĩa có thể là cách tiếp cận chuỗi giá trị theo chiều dọc, ví dụ, công ty chủ đề được so sánh với, ví dụ, một ngành công nghiệp hạ nguồn đã biết để có cảm giác tốt về giá trị của nó bằng cách xây dựng mối tương quan hữu ích với các công ty hạ nguồn. So sánh như vậy thường tiết lộ những hiểu biết hữu ích giúp các nhà phân tích kinh doanh hiểu rõ hơn về mối quan hệ hiệu suất giữa công ty chủ đề và ngành công nghiệp hạ nguồn của nó. Ví dụ: nếu một công ty chủ đề đang phát triển nằm trong một ngành tập trung hơn ngành hạ nguồn với mức độ phụ thuộc lẫn nhau cao, người ta nên mong đợi một cách hợp lý rằng công ty chủ đề hoạt động tốt hơn ngành hạ nguồn về tăng trưởng, lợi nhuận và rủi ro.
Hướng dẫn phương pháp công ty đại chúng
Phương pháp công ty đại chúng hướng dẫn đòi hỏi phải so sánh công ty chủ thể với các công ty giao dịch công khai. Việc so sánh thường dựa trên dữ liệu được công bố liên quan đến giá cổ phiếu và thu nhập, doanh số hoặc doanh thu của các công ty đại chúng, được biểu thị dưới dạng một phần được gọi là bội số. Nếu hướng dẫn các công ty đại chúng đủ giống nhau và công ty chủ thể cho phép so sánh có ý nghĩa, thì bội số của chúng phải tương tự nhau. Các công ty đại chúng được xác định cho mục đích so sánh phải tương tự như công ty chủ thể về ngành, dòng sản phẩm, thị trường, tăng trưởng, lợi nhuận và rủi ro.
Tuy nhiên, nếu công ty chủ thể thuộc sở hữu tư nhân, giá trị của nó phải được điều chỉnh vì thiếu tính thị trường. Điều này thường được thể hiện bằng chiết khấu hoặc giảm tỷ lệ phần trăm giá trị của công ty khi so sánh với các đối tác giao dịch công khai. Điều này phản ánh rủi ro cao hơn liên quan đến việc nắm giữ cổ phiếu trong một công ty tư nhân. Sự khác biệt về giá trị có thể được định lượng bằng cách áp dụng chiết khấu cho việc thiếu tính thị trường. Mức chiết khấu này được xác định bằng cách nghiên cứu giá trả cho cổ phiếu sở hữu trong các công ty tư nhân cuối cùng cung cấp cổ phiếu của họ trong một đợt chào bán công khai. Ngoài ra, sự thiếu tính thị trường có thể được đánh giá bằng cách so sánh giá trả cho cổ phiếu bị hạn chế với cổ phiếu có thể bán được đầy đủ của các công ty đại chúng.
Phương pháp định giá quyền chọn
Như trên, trong một số trường hợp nhất định, vốn chủ sở hữu có thể được định giá bằng cách áp dụng các kỹ thuật và khuôn khổ được phát triển cho các lựa chọn tài chính, thông qua khung quyền chọn thực.
Nói chung, vốn chủ sở hữu có thể được xem như một quyền chọn mua đối với công ty,và điều này cho phép định giá các công ty gặp khó khăn mà nếu không có thể khó phân tích. Ứng dụng cổ điển của phương pháp này là định giá chứng khoán đau khổ, đã được thảo luận trong bài báo gốc của Black-Scholes. Ở đây, vì nguyên tắc trách nhiệm hữu hạn bảo vệ các nhà đầu tư vốn chủ sở hữu, các cổ đông sẽ chọn không trả nợ của công ty khi giá trị của công ty được nhận thức nhỏ hơn giá trị của khoản nợ chưa thanh toán; Xem Định giá trái phiếu. Khi giá trị công ty lớn hơn giá trị nợ, các cổ đông sẽ chọn trả nợ (tức là thực hiện quyền chọn của họ) và không thanh lý. Do đó, tương tự như các lựa chọn tiền tuy nhiên có giá trị, vốn chủ sở hữu có thể có giá trị ngay cả khi giá trị của công ty giảm xuống dưới mệnh giá của khoản nợ chưa thanh toán và giá trị này có thể được xác định bằng kỹ thuật định giá quyền chọn thích hợp.
Một số tình huống kinh doanh nhất định, và các công ty mẹ trong những trường hợp đó, cũng được phân tích một cách hợp lý theo khuôn khổ quyền chọn. Giống như một lựa chọn tài chính mang lại cho chủ sở hữu của nó quyền, nhưng không phải là nghĩa vụ, để mua hoặc bán chứng khoán ở một mức giá nhất định, các công ty thực hiện đầu tư chiến lược có quyền, nhưng không có nghĩa vụ, khai thác các cơ hội trong tương lai; Quản lý tất nhiên sẽ chỉ thực hiện khi điều này có ý nghĩa kinh tế. Do đó, đối với các công ty phải đối mặt với sự không chắc chắn của loại hình này, giá cổ phiếu có thể được coi là tổng giá trị của các doanh nghiệp hiện tại (tức là giá trị dòng tiền chiết khấu) cộng với bất kỳ giá trị quyền chọn thực nào. Định giá vốn chủ sở hữu ở đây, do đó, có thể tiến hành tương tự.
Một ứng dụng phổ biến là đầu tư tài nguyên thiên nhiên. Ở đây, tài sản cơ bản là chính tài nguyên; Giá trị của tài sản là một hàm của cả số lượng tài nguyên có sẵn và giá của tài nguyên được đề cập. Giá trị của tài nguyên sau đó là chênh lệch giữa giá trị của tài sản và chi phí liên quan đến việc phát triển tài nguyên. Khi tích cực, “bằng tiền”, ban quản lý sẽ đảm nhận việc phát triển và sẽ không làm như vậy nếu không, và một dự án tài nguyên do đó có hiệu quả là một lựa chọn cuộc gọi. Do đó, một công ty tài nguyên cũng có thể được phân tích bằng cách sử dụng phương pháp tùy chọn. Cụ thể, giá trị của công ty bao gồm giá trị của các dự án đã hoạt động được xác định thông qua định giá DCF (hoặc các kỹ thuật tiêu chuẩn khác) và dự trữ chưa phát triển như được phân tích bằng khung quyền chọn thực.
Bằng sáng chế sản phẩm cũng có thể được coi là quyền chọn và giá trị của các công ty nắm giữ các bằng sáng chế này – điển hình là các công ty trong lĩnh vực khoa học sinh học, công nghệ và dược phẩm – có thể được xem tương tự như tổng giá trị của sản phẩm tại chỗ và danh mục bằng sáng chế chưa được triển khai. Liên quan đến phân tích quyền chọn, vì bằng sáng chế cung cấp cho công ty quyền phát triển sản phẩm, nó sẽ chỉ làm như vậy nếu giá trị hiện tại của dòng tiền dự kiến từ sản phẩm vượt quá chi phí phát triển và quyền bằng sáng chế do đó tương ứng với quyền chọn mua. Phân tích tương tự có thể được áp dụng cho các lựa chọn về phim (hoặc các tác phẩm sở hữu trí tuệ khác) và định giá của các hãng phim.
5. Giảm giá và phí bảo hiểm
Các phương pháp định giá mang lại giá trị thị trường hợp lý của toàn bộ công ty. Tuy nhiên, khi định giá thiểu số, lợi ích không kiểm soát trong một doanh nghiệp, chuyên gia thẩm định giá phải xem xét khả năng áp dụng chiết khấu ảnh hưởng đến lợi ích đó.
Các cuộc thảo luận về giảm giá và phí bảo hiểm thường bắt đầu bằng việc xem xét các mức giá trị. Có ba mức giá trị chung: kiểm soát lợi ích, thiểu số thị trường và thiểu số không thể bán được.
Mức trung gian, lợi ích thiểu số có thể bán được, thấp hơn mức lãi suất kiểm soát và cao hơn mức lợi ích thiểu số không thể bán được. Mức lãi suất thiểu số có thể bán được đại diện cho giá trị nhận thức của lợi ích vốn chủ sở hữu được giao dịch tự do mà không có bất kỳ hạn chế nào. Những lợi ích này thường được giao dịch trên Sở giao dịch chứng khoán New York, AMEX, NASDAQ và các sàn giao dịch khác, nơi có thị trường sẵn sàng cho chứng khoán vốn chủ sở hữu. Những giá trị này đại diện cho lợi ích thiểu số trong các công ty chủ thể — các khối cổ phiếu nhỏ chiếm ít hơn 50% vốn chủ sở hữu của công ty và thường ít hơn 50%.
Kiểm soát mức lãi suất là giá trị mà một nhà đầu tư sẽ sẵn sàng trả để có được hơn 50% cổ phần của công ty, do đó có được các đặc quyền kiểm soát kèm theo. Một số đặc quyền kiểm soát bao gồm: bầu giám đốc, thuê và sa thải quản lý của công ty và xác định mức lương của họ; tuyên bố cổ tức và phân phối, xác định chiến lược và ngành nghề kinh doanh của công ty, và mua, bán hoặc thanh lý doanh nghiệp. Mức giá trị này thường chứa phí bảo hiểm kiểm soát đối với mức giá trị trung gian, thường dao động từ 25% đến 50%. Một khoản phí bảo hiểm bổ sung có thể được trả bởi các nhà đầu tư chiến lược, những người được thúc đẩy bởi động cơ hiệp đồng.
Không thể bán được, mức thiểu số là mức thấp nhất trên biểu đồ, đại diện cho mức độ mà lợi ích vốn chủ sở hữu không kiểm soát trong các công ty tư nhân thường được định giá hoặc giao dịch. Mức giá trị này được chiết khấu vì không có thị trường sẵn sàng tồn tại để mua hoặc bán lợi ích. Các công ty tư nhân ít “thanh khoản” hơn các công ty giao dịch công khai và các giao dịch trong các công ty tư nhân mất nhiều thời gian hơn và không chắc chắn hơn. Giữa mức trung bình và thấp nhất của biểu đồ, có cổ phiếu hạn chế của các công ty giao dịch công khai.
Mặc dù IRS và tòa án thuế ngày càng có xu hướng thách thức chiết khấu định giá, Shannon Pratt đã đề xuất trong một bài thuyết trình học thuật gần đây rằng chiết khấu định giá thực sự đang tăng lên khi sự khác biệt giữa các công ty nhà nước và tư nhân đang mở rộng. Các cổ phiếu giao dịch công khai đã tăng tính thanh khoản cao hơn trong thập kỷ qua do giao dịch điện tử nhanh chóng, hoa hồng giảm và bãi bỏ quy định của chính phủ. Tuy nhiên, những phát triển này đã không cải thiện tính thanh khoản của lợi ích trong các công ty tư nhân. Chiết khấu định giá là nhân lên, vì vậy chúng phải được xem xét theo thứ tự. Phí bảo hiểm kiểm soát và chiết khấu lãi suất thiểu số, nghịch đảo của chúng, được xem xét trước khi áp dụng chiết khấu thị trường.
Giảm giá cho sự thiếu kiểm soát
Khoản chiết khấu đầu tiên phải được xem xét là chiết khấu vì thiếu kiểm soát, trong trường hợp này cũng là chiết khấu lãi suất thiểu số. Giảm giá lãi suất thiểu số là nghịch đảo của phí bảo hiểm kiểm soát, trong đó tồn tại mối quan hệ toán học sau: MID = 1 – [1 / (1 + CP)] Nguồn dữ liệu phổ biến nhất liên quan đến phí bảo hiểm kiểm soát là Nghiên cứu phí bảo hiểm kiểm soát, được xuất bản hàng năm bởi Mergerstat kể từ năm 1972. Mergerstat tổng hợp dữ liệu liên quan đến các vụ sáp nhập, mua lại và thoái vốn được công bố công khai liên quan đến 10% trở lên lợi ích vốn chủ sở hữu trong các công ty đại chúng, trong đó giá mua từ 1 triệu đô la trở lên và ít nhất một trong các bên tham gia giao dịch là một thực thể Hoa Kỳ. Mergerstat định nghĩa “phí bảo hiểm kiểm soát” là chênh lệch phần trăm giữa giá mua lại và giá cổ phiếu của cổ phiếu công khai được giao dịch tự do năm ngày trước khi công bố giao dịch M&A. Mặc dù không phải là không có những lời chỉ trích hợp lệ, nhưng dữ liệu phí bảo hiểm kiểm soát Mergerstat (và chiết khấu lãi suất thiểu số có được từ đó) được chấp nhận rộng rãi trong nghề định giá.
Giảm giá vì thiếu tính thị trường
“Giảm giá cho việc thiếu tính thị trường” (DLOM) có thể được áp dụng cho một khối cổ phiếu thiểu số để thay đổi định giá của khối đó.
Một yếu tố khác cần được xem xét trong việc định giá các công ty được tổ chức chặt chẽ là khả năng tiếp thị của lợi ích trong các doanh nghiệp đó. Khả năng tiếp thị được định nghĩa là khả năng chuyển đổi lợi ích kinh doanh thành tiền mặt một cách nhanh chóng, với chi phí giao dịch và hành chính tối thiểu và với mức độ chắc chắn cao về số tiền thu được ròng. Thường có chi phí và độ trễ thời gian liên quan đến việc xác định vị trí người mua quan tâm và có khả năng quan tâm đến lợi ích trong các công ty tư nhân, bởi vì không có thị trường được thiết lập của người mua và người bán có sẵn.
Tất cả các yếu tố khác đều bình đẳng, lợi ích trong một công ty giao dịch công khai có giá trị hơn vì nó dễ dàng bán được. Ngược lại, lợi ích trong một công ty tư nhân có giá trị thấp hơn vì không có thị trường được thiết lập tồn tại. “Hướng dẫn Định giá của IRS về Thuế Thu nhập, Bất động sản và Quà tặng, Đào tạo Định giá cho Cán bộ Kháng cáo” thừa nhận mối quan hệ giữa giá trị và khả năng tiếp thị, nêu rõ: “Các nhà đầu tư thích một tài sản dễ bán, nghĩa là có tính thanh khoản.”
Giảm giá cho sự thiếu kiểm soát là riêng biệt và có thể phân biệt với chiết khấu vì thiếu tính thị trường. Nhiệm vụ của chuyên gia định giá là định lượng sự thiếu tính thị trường của lợi ích trong một công ty tư nhân. Bởi vì, trong trường hợp này, lợi ích chủ thể không phải là lợi ích kiểm soát trong công ty và chủ sở hữu lợi ích đó không thể buộc thanh lý để chuyển đổi lãi suất chủ thể thành tiền mặt một cách nhanh chóng và không có thị trường được thiết lập nào tồn tại để có thể bán lãi suất đó, chiết khấu vì thiếu tính thị trường là phù hợp.
Nghiên cứu thực nghiệm
Một số nghiên cứu thực nghiệm đã được công bố cố gắng định lượng chiết khấu vì thiếu tính thị trường. Những nghiên cứu này bao gồm các nghiên cứu cổ phiếu bị hạn chế và các nghiên cứu trước IPO. Tổng hợp của các nghiên cứu này cho thấy mức chiết khấu trung bình lần lượt là 35% và 50%. Một số chuyên gia tin rằng việc thiếu kiểm soát và chiết khấu thị trường có thể tổng hợp chiết khấu lên tới chín mươi phần trăm giá trị thị trường hợp lý của công ty, đặc biệt là với các công ty gia đình.
Nghiên cứu chứng khoán bị hạn chế
Cổ phiếu bị hạn chế là chứng khoán vốn chủ sở hữu của các công ty đại chúng tương tự về mọi mặt với cổ phiếu được giao dịch tự do của các công ty đó ngoại trừ việc chúng có một hạn chế ngăn cản chúng được giao dịch trên thị trường mở trong một khoảng thời gian nhất định, thường là một năm (hai năm trước năm 1990). Hạn chế này từ giao dịch tích cực, dẫn đến thiếu tính thị trường, là sự khác biệt duy nhất giữa cổ phiếu bị hạn chế và đối tác giao dịch tự do của nó. Cổ phiếu bị hạn chế có thể được giao dịch trong các giao dịch tư nhân và thường làm như vậy với giá chiết khấu. Các nghiên cứu cổ phiếu bị hạn chế cố gắng xác minh sự khác biệt về giá mà tại đó cổ phiếu bị hạn chế giao dịch so với giá mà cùng một giao dịch chứng khoán không hạn chế trên thị trường mở kể từ cùng một ngày. Dữ liệu cơ bản mà các nghiên cứu này đưa ra kết luận của họ chưa được công bố. Do đó, không thể khi định giá một công ty cụ thể để so sánh các đặc điểm của công ty đó với dữ liệu nghiên cứu. Tuy nhiên, sự tồn tại của chiết khấu thị trường đã được các chuyên gia định giá và tòa án công nhận, và các nghiên cứu cổ phiếu bị hạn chế thường được trích dẫn làm bằng chứng thực nghiệm. Đáng chú ý, mức chiết khấu trung bình thấp nhất được báo cáo bởi các nghiên cứu này là 26% và chiết khấu trung bình cao nhất là 40%.
Giá quyền chọn
Ngoài các nghiên cứu chứng khoán bị hạn chế, các công ty giao dịch công khai của Hoa Kỳ có thể bán cổ phiếu cho các nhà đầu tư nước ngoài (Quy định S của SEC, ban hành năm 1990) mà không cần đăng ký cổ phiếu với Ủy ban Chứng khoán và Giao dịch. Người mua ở nước ngoài có thể bán lại số cổ phiếu này tại Hoa Kỳ, vẫn không cần phải đăng ký cổ phiếu, sau khi nắm giữ chúng chỉ trong 40 ngày. Thông thường, các cổ phiếu này được bán với giá thấp hơn 20% đến 30% so với giá cổ phiếu giao dịch công khai. Một số giao dịch này đã được báo cáo với mức chiết khấu hơn 30%, do thiếu tính thị trường. Những chiết khấu này tương tự như chiết khấu thị trường được suy ra từ các nghiên cứu hạn chế và trước IPO, mặc dù thời gian nắm giữ chỉ là 40 ngày. Các nghiên cứu dựa trên giá trả cho các tùy chọn cũng đã xác nhận mức chiết khấu tương tự. Nếu một người nắm giữ cổ phiếu bị hạn chế và mua quyền chọn bán cổ phiếu đó theo giá thị trường (quyền chọn), người nắm giữ trên thực tế đã mua khả năng tiếp thị cho cổ phiếu. Giá của đặt bằng với chiết khấu thị trường. Phạm vi chiết khấu thị trường có được từ nghiên cứu này là 32% đến 49%. Tuy nhiên, việc gán toàn bộ giá trị của quyền chọn bán cho khả năng tiếp thị là sai lệch, bởi vì nguồn giá trị bán chính đến từ việc bảo vệ giá giảm. Một phân tích kinh tế chính xác sẽ sử dụng các hợp đồng tương lai tiền tệ hoặc hợp đồng tương lai một cổ phiếu, chứng minh rằng khả năng tiếp thị của cổ phiếu bị hạn chế có giá trị thấp vì dễ dàng phòng ngừa rủi ro bằng cách sử dụng các giao dịch cổ phiếu hoặc hợp đồng tương lai không hạn chế.
Các nghiên cứu trước IPO
Một cách tiếp cận khác để đo lường chiết khấu thị trường là so sánh giá cổ phiếu được chào bán trong các đợt chào bán công khai ban đầu (IPO) với các giao dịch trong cùng một cổ phiếu của công ty trước khi IPO. Các công ty sắp niêm yết được yêu cầu tiết lộ tất cả các giao dịch trong cổ phiếu của họ trong khoảng thời gian ba năm trước khi IPO. Các nghiên cứu trước IPO là giải pháp thay thế hàng đầu cho các cổ phiếu bị hạn chế trong việc định lượng chiết khấu thị trường.
Các nghiên cứu trước IPO đôi khi bị chỉ trích vì kích thước mẫu tương đối nhỏ, các giao dịch trước IPO có thể không dài tay và cấu trúc tài chính và dòng sản phẩm của các công ty được nghiên cứu có thể đã thay đổi trong thời gian ba năm trước IPO.
Áp dụng các nghiên cứu
Các nghiên cứu xác nhận những gì thị trường biết bằng trực giác: Các nhà đầu tư thèm muốn thanh khoản và ghét những trở ngại làm giảm thanh khoản. Các nhà đầu tư thận trọng chỉ mua các khoản đầu tư kém thanh khoản khi có đủ chiết khấu về giá để tăng tỷ lệ hoàn vốn lên mức đưa phần thưởng rủi ro trở lại cân bằng. Các nghiên cứu được tham khảo thiết lập một phạm vi chiết khấu định giá hợp lý từ giữa 30% đến 50% thấp. Các nghiên cứu gần đây dường như mang lại một phạm vi giảm giá thận trọng hơn so với các nghiên cứu cũ, có thể đã bị kích thước mẫu nhỏ hơn. Một phương pháp khác để định lượng việc thiếu chiết khấu thị trường là mô hình chiết khấu thị trường định lượng (QMDM).